Қарағанды облысы білім басқармасының Қарағанды…
Бауыржан Момышұлы атындағы ЖББМ
обычная версия
вход
рус
каз
eng
Аттестация школы
Б.Момышұлы ат.ЖББМ өзін-өзі бағалау
Главная страница
Визитная карта школы
Телефон доверия
Наша школа
Строительство школы
Открытие школы
Руководство школы
Гости школы
Ветераны школы
Наша команда
Страница директора
Администрация
МО начальной школы
МО казахского языка и литературы
МО гуманитарного цикла
МО естественно-политехнического цикла
МО английского языка
МО эстетического цикла
МО физической культуры
Новости школы
Бауыржан Момышұлы
План мероприятий посвященному Герою Советского Союза Бауыржан Момышұлы
музей Бауыржан Момышұлы
"Батырлыққа- тағзым" мероприятия
Проект «Зияткерлік модернизация»
Познавательный клуб "ҰШҚАН ҰЯ"
Связь со средствами массовой информации
Стандарты государственных услуг
Учебно-воспитательный процесс
Расписание уроков
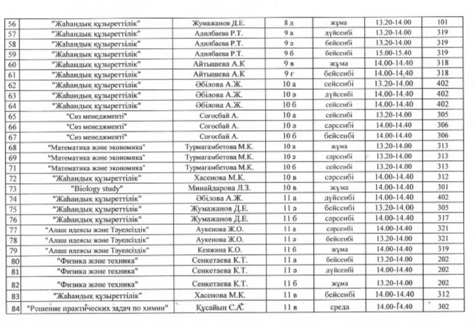
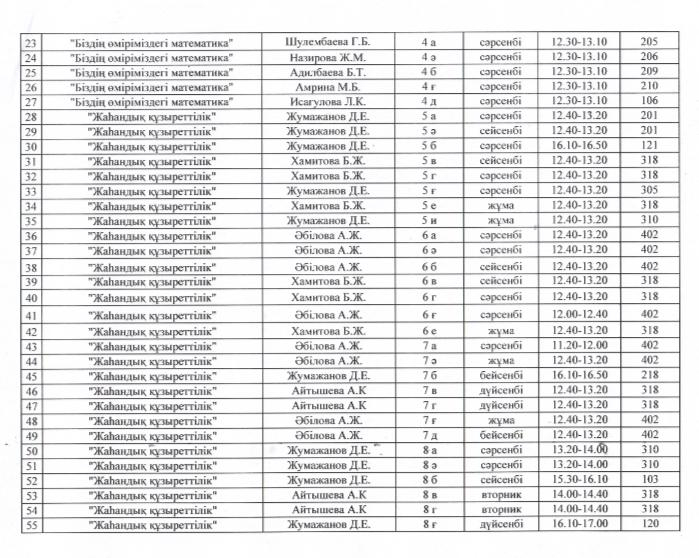
Факультатив
Мероприятия
Страница для родителей
Фоторепортаж
Летняя школа
Приказ
План работы
Расписание занятий
Фотоотчёт занятий
Информация для родителей и учеников
О температурном режиме занятий в организациях образования в зимний период
Классные руководители
Электронный дневник
Как сохранить здоровье ребенка в школе
Центр педагогической поддержки родителей
Психологи советуют
Осторожно, открытые окна!
Школьная форма
Азбука медиаграмотность
Для родителей
Для учеников
Здоровый образ жизни
Здоровый образ жизни
Родителям
Сотрудникам
Программа профилактики
Школьное питание
Приказ и План работы
Паспорт школьной столовой
Организация питания
Меню
График питания
Советы по правильному питанию
Акты мониторинга качества питания
Памятка для комиссий по мониторингу качества питания в организациях образования
Рекомендации по организации деятельности межведомственных экспертных групп по контролю за качеством питания
Противодействие коррупции
Приказ
Антикоррупционный стандарт
Закон "О противодействии коррупции"
Программа противодействия на 2015-2025 годы
План мероприятий по реализации программы борьбы с коррупцией по КГУ "Общеобразовательная школа имени Бауыржана Момышулы"
Инфографика
Добровольный клуб "Адал Ұрпақ"
Профилактика наркомании
Законодательства
План мероприятий
Пройденные мероприятия
Информация для родителей
Информация для учащихся
Психологическая служба
Об утверждении Правил деятельности психологической службы в организациях среднего образования Приказ Министра просвещения Республики Казахстан от 25 августа 2022 года №377
Мероприятия
Приказ
План работы
Профилактика антитеррористической безопасности
Об утверждении требований к организации антитеррористической защиты объектов, уязвимых в террористическом отношении
Приказ
Алгоритм действий работников образования и вахтеров при совершении террористического акта на объекте
Памятка о правилах поведения при возникновении угрозы или совершении акта терроризма
Попечительский совет
Типовые правила организаций работы Попечительского Совета
О деятельности попечительских советов в общеобразовательных школах
Приказ о создании Попечительского Совета
Состав Попечительского Совета
План работы Попечительского совета
Протоколы Заседаний Попечительского Совета
Жаз -2025
Летний пришкольный оздоровительный лагерь "Ғажайып әлем"
«Көкжиек» жазғы бейіндік отряды
Кабинет профессиональной ориентации
Нормативно-правовые документы.
Кем стать? Куда поступить учиться?
Школа молодого учителя
План "Школы молодого учителя" на 2023-2024 учебный год
Наставники
Мероприятия
Достижения
Конкурс "Лучший педагогический дуэт"
Школьная библиотека
Учебники QR коды
Художественная литература
Художественная литература QR коды
"ЭкоChallenge"
Внеклассные мероприятия
СОРы, СОЧи по предметам
Разработки уроков
ДЮО "Жас Ұлан"
ДЮО “Жас ұлан”
Клятва членов единой Республиканской организации детей и юношества «Жас Ұлан»
Орган самоуправления
"Жас Сарбаз"
Информатизация школы
Bilimal- электронная школа
Цифровизация образования
Психологи советуют
Социальный педагог
Акция "Забота"
Акция "Дорога в школу"
В помощь опекунами/ попечителям
Воспитательный процесс
"Родительский контроль"
"PRESS.KZ" литературно-информационная студия
"Жас Сарбаз"
"Жас Ұлан" ұйымы
Самоуправление
Методическая помощь классным руководителям
Страница логопеда
Вопросы и ответы
Изучаем казахский язык
Әдіе, тәсіл, амал, жол
путь, способ.
Предыдущая фраза
Следующая фраза
Вопрос-ответ
Всего ответов:
98
Новых вопросов:
0
Задать вопрос
Факультатив