"Қарағанды қаласы әкімдігінің "Қарағанды қаласының білім бөлімі " мемлекеттік мекемесінің ""№18 жалпы білім беретін мектебі" коммуналдық мемлекеттік мекемесі
Нашар көретіндерге арналған нұсқа
кіру
рус
каз
eng
Басқа
"№18 ЖББМ" КММ
Мектептің визит карточкасы
Мектеп туралы
Педагогтар құрамы
Өзін-өзі бағалау
Нормативтік құжаттар
«Білім туралы» ҚР Заңы
«Педагог мәртебесі туралы» ҚР Заңы
Педагогикалық әдеп ережелері
Сыбайлас жемқорлыққа қарсы стандарт
Білім беру ұйымының жарғысы
Мемлекеттік қызметтер көрсету қағидалары
Оқу орнын дамыту бағдарламасы
Ішкі тәртіп ережелері
Мемлекеттік рәміздер
Мемлекеттік қызмет көрсету
Мектепке дейінгі тәрбие мен оқыту, бастауыш, негізгі орта, жалпы орта, техникалық және кәсіптік, орта білімнен кейінгі білім беру бағдарламаларын іске асыратын білім беру ұйымдарының педагогтеріне біліктілік санаттарын беру (растау) үшін аттестаттаудан өт
Мемлекеттік білім беру мекемелеріндегі білім алушылар мен тәрбиенушілердің жекелеген санаттарына қала сыртындағы және мектеп жанындағы лагерьлерде демалуы үшін құжаттар қабылдау және жолдама беру
Жалпы білім беретін мектептердегі білім алушылар мен тәрбиеленушілердің жекелеген санаттарына тегін және жеңілдетілген тамақтандыруды ұсыну
Негізгі орта, жалпы орта білім туралы құжаттардың телнұсқаларын беру
"Психологиялық-педагогикалық қолдау саласындағы жергілікті атқарушы органдар көрсететін мемлекеттік көрсетілетін қызметтерді көрсету тәртібін бекіту туралы"
"Бастауыш, негізгі орта, жалпы орта білім беру ұйымдары арасында балаларды ауыстыру үшін құжаттарды қабылдау" мемлекеттік қызмет көрсету стандарты
Бастауыш, негізгі орта, жалпы орта білім берудің жалпы білім беретін бағдарламалары бойынша оқыту үшін ведомстволық бағыныстылығына қарамастан білім беру ұйымдарына құжаттарды қабылдау және оқуға қабылдау
Терроризмге қарсы жұмыстар
Мектеп әкімшілігі
Мектеп директоры
Мектеп әкімшілігі
Мектеп жаңалықтары
Ақпараттандыру жүйесі
ICILS
Bilimal. Электронный мектеп.
IT-сынып
Виртуалды мұражай
Қауіпсіз ғаламтор
НОБД
Кәсіптік бағдар беру
Кәсіптік бағдар беру жұмысының жоспары
Кәсіптік бағдар беру жұмысын жүргізу жөніндегі ынтымақтастық туралы шарт
Жоғарғы оқу орындары
Қарағанды колледждері
Іс-шара
Әдістемелік бірлестіктер
Сынып жетекшілер ӘБ
Жаратылыстану-математика пәндері ӘБ
Шет тілдер ӘБ
Қоғамдық-гуманитарлық пәндер ӘБ
Эстетикалық пәндер ӘБ
Бастауыш сынып ӘБ
Қамқоршылық кеңес
Қамқоршылар кеңесінің қызметі туралы ақпарат
Құжаттар
Қамқоршылық кеңесі құрамы
Қамқоршылар кеңесінің жұмыс жоспары
Хаттамалар
Үйірмелер мен секция бөлімдері
Спорттық іс-шаралар кестесі
Үйірме кестесі
Құқықбұзшылықтың алдын алу жұмыстары
Зорлық зомбылықтың алдын алу
Бұйрық
Жоспар
"Адал Ұрпақ" ерікті мектеп клубы
"Адал Ұрпақ" ерікті мектеп клубы
«Адалдық сағаты»
Дарынды оқушылармен жұмыс
2019-2020 оқу жылындағы оқушылар жетістігі
2018-2019 оқу жылындағы оқушылар жетістігі
2017-2018 оқу жылындағы оқушылар жетістігі
2016-2017 оқу жылындағы оқушылар жетістігі
2015-2016 оқу жылындағы оқушылар жетістігі
2014 - 2015 оқу жылындағы оқушылар жетістігі
2013 - 2014 оқу жылындағы оқушылар жетістігі
2012 - 2013 оқу жылындағы оқушылар жетістігі
"Достық" сауықтыру лагері 2022
"ЖАЗ-2022" Бағдарлама
Қауіпсіз жаз-2022
Іс-шаралар
Ата-аналарға арналған ақпарат
мектеп формасы
Жазғы мектеп - 2022
Жазғы мектеп - 2022
Бейне сабақтар
Әдебиеттер тізімі
Мектептегі тамақтану
Жалдаушы келсімі
Әлеуметтік педагог
Әлеуметтік педагог
Мектепке жол
Қамқоршылар күні
Психолог
Тәлімгер
Тәлімгер
Мектеп парламенті
Еріктілер
Хаттамалар
Дәрігер бөлмесі
Хабарландыру
Кітапхана
Кітапхана
Бухгалтерия
Қаржыландыру жоспары
Ашық бюджет
Тамақтану
Ашық конкурстар
Сенім телефоны
Сұрақтар және жауаптар
Сатып алу жоспары және жеткізушілер
Қазақ тілін үйренеміз
Ер шекіспей, бекіспейді.
Батыры не помирятся, пока силами не померятся.
Предыдущая фраза
Следующая фраза
Сұрақ-жауап
Барлық жауаптар:
6
Жаңа сұрақтар:
0
Сұрақты беру
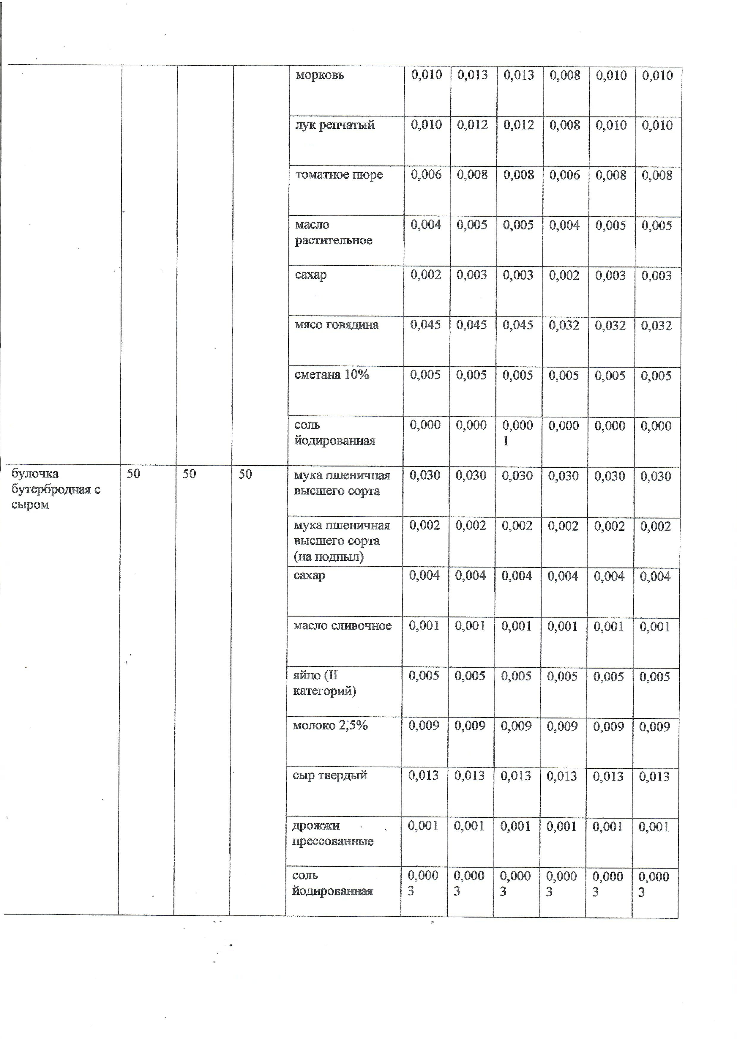
Оқушылардың ас мәзірі